Τελευταία Νέα
Πολιτική

Αυλαία στην Προανακριτική για Παππά - Τι λέει το πόρισμα της ΤτΕ για τα 3 εκατ. ευρώ του Καλογρίτσα

Αυλαία στην Προανακριτική για Παππά - Τι λέει το πόρισμα της ΤτΕ για τα 3 εκατ. ευρώ του Καλογρίτσα
Με υπόμνημα θα καταθέσει ο Νίκος Παππάς, ο οποίος κάνει λόγο για φιάσκο
Σχετικά Άρθρα

(upd) Στην Προανακριτική Επιτροπή της Βουλής για την υπόθεση του Νίκου Παππά διαβιβάστηκε το πόρισμα της Τράπεζας της Ελλάδας για τα 3 εκατομμύρια ευρώ της εγγυητικής Καλογρίτσα προκειμένου να συμμετάσχει στο διαγωνισμό τηλεοπτικών αδειών.
Η προανακριτική αποφάσισε να καλέσει για κατάθεση, την ερχόμενη Παρασκευή 4/6, τον ελεγχόμενο πρώην υπουργό Ν. Παππά, ο οποίος ενημέρωσε ότι θα καταθέσει με υπόμνημα.
Κατά της απόφασης για μη κλήση άλλων μαρτύρων φέρονται να τάχθηκαν ΣΥΡΙΖΑ και Ελληνική Λύση ενώ παρών φέρεται να δήλωσε το ΚΚΕ. Σ
Σημειώνεται επίσης ότι απορρίφθηκε από την πλειοψηφία η πρόταση του ΣΥΡΙΖΑ για κλήση του δημοσιογράφου Κ. Βαξεβάνη.

Για πόρισμα - κόλαφο κάνει λόγο η ΝΔ

Σύμφωνα με πληροφορίες από πηγές προσκείμενες στην κοινοβουλευτική ομάδα της ΝΔ, το πόρισμα της Τράπεζας της Ελλάδας καταρρίπτει πλήρως τους ισχυρισμούς του κ.Παππά, βάσει των οποίων η προέλευση των 3 εκατομμυρίων ευρώ με τα οποία ο Χρ.Καλογρίτσας συμμετείχε στο διαγωνισμό για τις τηλεοπτικές άδειες, είχε ελεγχθεί και εγκριθεί από την ΤτΕ.
Σύμφωνα με τις ίδιες πηγές, η έκθεση αποκαλύπτει ότι το ποσό αυτό προήλθε από τη μεταβίβαση στον Καλογρίτσα ποσού 3 εκατ. ευρώ από τους Άραβες βάσει ενός συμφωνητικού για εκτέλεση έργου το οποίο, όπως αναφέρεται στο πόρισμα, δεν υλοποιήθηκε ποτέ, πολλαπλασιάζοντας τις ενδείξεις περί εικονικότητας της σύμβασης.
Το πόρισμα της ΤτΕ φωτίζει πλήρως τη διαδρομή των 3 εκατ. ευρώ που διοχετεύθηκαν για να συμμετάσχει η εταιρία Καλογρίτσα στο διαγωνισμό για τη δημιουργία του «ΣΥΡΙΖΑ channel» , αναφέρουν οι ίδιες πηγές.
Όπως σημειώνουν, η έκθεση διαβιβάστηκε στην προανακριτική επιτροπή της Βουλής για τη διερεύνηση αδικημάτων που τυχόν έχουν τελεστεί απ' τον πρώην υπουργό Νίκο Παππά και αναφέρει ότι με παρότρυνση της Τραπέζης της Ελλάδος τον Σεπτέμβριο του 2016 υπήρξαν τρεις συνολικά αναφορές στην Αρχή για το ξέπλυμα μαύρου χρήματος.
Συγκεκριμένα, προσθέτουν, δύο αναφορές από τα στελέχη της Attica Bank και μια αναφορά από την Εθνική Τράπεζα για τις διαδρομές των 3 εκατ. ευρώ που εστάλησαν στην Αρχή για το ξέπλυμα μαύρου χρήματος.
«Στο πόρισμα δεν αναφέρεται η τυχόν διενέργεια περαιτέρω ελέγχου των εν λόγω αναφορών από την Αρχή οι οποίες διαβιβάστηκαν καθώς αξιολογήθηκαν από τα τραπεζικά στελέχη ως ύποπτες συναλλαγές και ήδη εγείρονται πολλά ερωτήματα.
Σε κάθε περίπτωση αποδεικνύεται ψευδής ο ισχυρισμός τόσο του ελεγχόμενου τότε Υπουργού Νίκου Παππά όσο και του ΣΥΡΙΖΑ ότι είχε προηγηθεί ενδελεχής έλεγχος από την Τράπεζα της Ελλάδος.
Αντιθέτως, προκύπτει ξεκάθαρα ότι η κεντρική τράπεζα είχε χτυπήσει απ' τον Σεπτέμβριο του 2016 «καμπανάκια» στα τραπεζικά στελέχη να αποστείλουν στην Αρχή Καταπολέμησης του βρώμικου χρήματος όλες τις ύποπτες αναφορές τους για τα 3 εκατ. ευρώ» αναφέρεται στο πόρισμα
Σύμφωνα με τις ίδιες πηγές, από την έκθεση προκύπτει ότι όλα έγιναν μέσα σε 24 ώρες για να στηθεί το «ΣΥΡΙΖΑ channel», επιβεβαιώνοντας ως προς την ροή του χρήματος τα όσα έχουν καταθέσει οι κ.κ. Τόμπρας και Καλογρίτσας.

Τι αναφέρουν τα στοιχεία

Τα στοιχεία, προσθέτουν οι πηγές προσκείμενες στην ΚΟ της ΝΔ είναι αποκαλυπτικά:

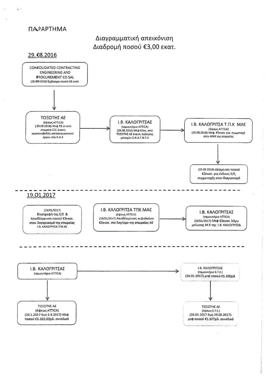
  1. Το επίμαχο ποσό των 3 εκατ. ευρώ εισήλθε μέσω της Attica Bank στην εταιρία ΤΟΞΟΤΗΣ Α.Ε με έμβασμα της εταιρίας που εδρεύει στο Αμπου Ντάμπι βάσει ιδιωτικού συμφωνητικού για την ανάληψη κατασκευαστικού έργου από την εταιρία του Καλογρίτσα, χωρίς ωστόσο να προκύπτει ότι οι επιμέρους όροι της συμφωνίας υλοποιήθηκαν.Σύμφωνα με το ιδιωτικό συμφωνητικό τα 3 εκατ. αφορούσαν προκαταβολή για έργα ύψους 45 εκατ. ευρώ στα Ηνωμένα Αραβικά Εμιράτα. Αξίζει να σημειωθεί ότι η ΤΟΞΟΤΗΣ Α.Ε θα έπρεπε μέσα σε επτά ημέρες από τη λήψη της προκαταβολής να παράσχει ισόποση εγγυητική επιστολή, εντός δεκατεσσάρων ημερών οι 'Αραβες να έδιναν στην ΤΟΞΟΤΗΣ Α.Ε όλες τις πληροφορίες για τα έργα που θα αναλάμβαναν και μέσα σε τρεις μήνες η εταιρία του Καλογρίτσα να γνωστοποιούσε πώς θα υλοποιούσε το έργο ύψους 45 εκατ. ευρώ. Τίποτα από αυτά δεν πραγματοποιήθηκε σύμφωνα με το πόρισμα-βόμβα της έκθεσης της ΤτΕ κάτι που ενισχύει τις υποψίες περί εικονικής συναλλαγής και όχι σύναψης πραγματικής εργολαβίας.
  2. Στο συμπέρασμα περί εικονικής συναλλαγής συγκλίνει η αναφορά του πορίσματος ότι την ίδια ημέρα, δηλαδή στις 29 Αυγούστου 2016, που η εταιρία ΤΟΞΟΤΗΣ Α.Ε έλαβε το ποσό των 3 εκατ. από τους 'Αραβες, το μετέφερε στο λογαριασμό Ταμιευτηρίου του Ιωάννη Βλαδίμηρου Καλογρίτσα. Ο υιός Καλογρίτσα, την ίδια μέρα, μετέφερε τα 3 εκατ. σε λογαριασμό όψεως της εταιρίας «ΙΩΑΝΝΗΣ - ΒΛΑΔΙΜΗΡΟΣ Χ. ΚΑΛΟΓΡΙΤΣΑΣ ΤΗΛΕΟΡΑΣΗ ΠΑΝΕΛΛΑΔΙΚΗΣ ΚΑΛΥΨΗΣ ΜΟΝΟΠΡΟΣΩΠΗ ΑΝΩΝΥΜΗ ΕΤΑΙΡΙΑ» που τηρούσε στην Attica Bank με σκοπό να συμμετάσχει στη δημοπρασία που θα γινόταν την επομένη μέρα (30 Αυγούστου 2016) για τη λήψη τηλεοπτικής άδειας. Η Attica Bank στις 29 Αυγούστου, δέσμευσε το ποσό των 3 εκατ. και εξέδωσε την εγγυητική επιστολή που χρησιμοποιήθηκε για να συμμετάσχει η εταιρία του Ιωάννη Βλαδίμηρου Καλογρίτσα στη δημοπρασία για τις τηλεοπτικές άδειες. Δηλαδή, μέσα σε λίγες ώρες, χρήματα που προορίζονταν για την κατασκευή ενός εμπορικού κέντρου στα βάθη της Αραβίας κατέληξαν στην Attica Bank για να μπορέσει να στηθεί ο «ΣΥΡΙΖΑ channel».
  3. Το ποσό των 3 εκατ. παρέμενε δεσμευμένο μέχρι τις 19 Ιανουαρίου 2017 στην Attica Bank όταν και αποδεσμεύθηκε κατόπιν επιστολής του Υπουργείου Ψηφιακής Πολιτικής (δηλαδή επί υπουργίας Νίκου Παππά) με θέμα «την επιβεβαίωση επιστροφής της εγγυητικής επιστολής και την απαλλαγή της τράπεζας από την εγγύηση αυτή».
  4. Στις 19 Ιανουαρίου 2017 ξεκινά η αντίστροφη πορεία των 3 εκατ. ευρώ που επίσης κίνησε το ενδιαφέρον των επιθεωρητών της Τραπέζης της Ελλάδος. Αρχικά, το ποσό των 3 εκατ. ευρώ μεταφέρεται από τον λογαριασμό της εταιρίας «ΙΩΑΝΝΗΣ - ΒΛΑΔΙΜΗΡΟΣ Χ. ΚΑΛΟΓΡΙΤΣΑΣ ΤΗΛΕΟΡΑΣΗ ΠΑΝΕΛΛΑΔΙΚΗΣ ΚΑΛΥΨΗΣ ΜΟΝΟΠΡΟΣΩΠΗ ΑΝΩΝΥΜΗ ΕΤΑΙΡΙΑ» σε λογαριασμό Ταμιευτηρίου του ιδίου και από κει κατέληξε σε λογαριασμούς όψεως της εταιρίας ΤΟΞΟΤΗΣ Α.Ε απ' όπου αναλώθηκε μέσω πλήθους συναλλαγών. Σημειώνεται, ότι η μεταφορά έγινε με τρεις συναλλαγές (2,9 εκατ. 90.000, και 10.000 ευρώ) ενώ πριν στον λογαριασμό Ταμιευτηρίου του υιού Καλογρίτσα υπήρχαν διαθέσιμα μόλις 198.166,14 ευρώ. Στο μεταξύ, μετά από έρευνα της Τράπεζας Αττικής, προέκυψε ότι η εταιρία «ΙΩΑΝΝΗΣ - ΒΛΑΔΙΜΗΡΟΣ Χ. ΚΑΛΟΓΡΙΤΣΑΣ ΤΗΛΕΟΡΑΣΗ ΠΑΝΕΛΛΑΔΙΚΗΣ ΚΑΛΥΨΗΣ ΜΟΝΟΠΡΟΣΩΠΗ ΑΝΩΝΥΜΗ ΕΤΑΙΡΙΑ» είχε αλλάξει επωνυμία ( 4 Νοεμβρίου 2016 και 14 Νοεμβρίου 2016) και ονομαζόταν πλέον «MEDIA DOC ΜΕΣΑ ΜΑΖΙΚΗΣ ΕΠΙΚΟΙΝΩΝΙΑΣ ΚΑΙ ΕΝΗΜΕΡΩΣΗΣ Α.Ε» με διακριτικό τίτλο «MEDIA DOC». Πρόκειται για την εταιρία που εξέδωσε τον Νοέμβριο του 2016 την εφημερίδα Documento με διευθυντή τον Κώστα Βαξεβάνη.
  5. Στις 24 Ιανουαρίου 2017, ποσό ύψους 1.200.024 ευρώ που αποτελούσε μέρος των υπό διερεύνηση 3 εκατ. ευρώ μεταφέρθηκε από το λογαριασμό Ταμιευτηρίου του υιού Καλογρίτσα σε άλλο λογαριασμό του ιδίου στην Εθνική Τράπεζα της Ελλάδος και ακολούθως μεταφέρθηκε σε λογαριασμό όψεως της εταιρίας ΤΟΞΟΤΗΣ Α.Ε επίσης στην Ε.Τ. Ε. Το υπόλοιπο ποσό (περίπου 1.923.000 ευρώ) μεταφέρθηκε σταδιακά μέχρι τις αρχές Μαρτίου 2017 σε λογαριασμό όψεως της ΤΟΞΟΤΗΣ Α.Ε στην Attica Bank. Από την ανάλυση των λογαριασμών στην Εθνική και στην Attica Bank προκύπτει ότι τα ποσά αναλώθηκαν σε πληρωμές φορολογικών και ασφαλιστικών υποχρεώσεων της εταιρίας ΤΟΞΟΤΗΣ Α.Ε ή μεταφέρθηκαν σε επιχειρήσεις ή φυσικά πρόσωπα με αντικείμενο τον κλάδο των κατασκευών, σε λειτουργικά έξοδα και προμηθευτές".


Παππάς: Φιάσκο…

Σημειώνεται πως η Επιτροπή αποφάσισε να μην εξετάσει άλλον μάρτυρα για την υπόθεση και να κλείσει τις εργασίες της με την κατάθεση του Νίκου Παππά.
Σε δηλώσεις του ο κ.Παππάς είπε πως θα καταθέσει δια υπομνήματος.
«Έχει γίνει πλέον σαφές ότι αυτή η προανακριτική στήθηκε επειδή η κυβέρνησή μας έβαλε τάξη στο τηλεοπτικό τοπίο, φορολόγησε για πρώτη φορά τους τηλεοπτικούς σταθμούς και εξέθεσε τη διαχρονική και διαπλεκόμενη απραξία των προηγούμενων κυβερνήσεων.
Όσο για αυτούς που επένδυσαν πολιτικά σε αυτό το φιάσκο;
Κοιλοπονούσε το βουνό της διαπλοκής και γέννησε έναν ποντικό, της προανακριτικής.
Μέχρι την Παρασκευή θα έχω καταθέσει τις θέσεις μου με υπόμνημα.
Η συνέχεια στην Ολομέλεια της Βουλής» ανέφερε ο κ.Παππάς.

Πηγές ΣΥΡΙΖΑ: Ταφόπλακα στην μεθόδευση

Οριστική ταφόπλακα στην άθλια μεθόδευση της Ν.Δ. κατά του ΣΥΡΙΖΑ-Π.Σ. και του Νίκου Παππά μπήκε σήμερα στην προανακριτική, όπως αναφέρουν πηγές του ΣΥΡΙΖΑ.
Η έκθεση της Τράπεζας της Ελλάδος αποκάλυψε την πραγματική ροή του χρήματος μεταξύ δύο ιδιωτών.
Επιβεβαίωσε, σημειώνουν, την προέλευση και την κατάληξη των 3 εκατ. ευρώ, ξεκαθαρίζοντας ότι το εν λόγω έμβασμα και η έκδοση της συναφούς εγγυητικής επιστολής έγιναν με την τήρηση όλων των προβλεπόμενων από τον νόμο διαδικασιών.
Παρουσίασε, επίσης, αναλυτικά στοιχεία για την κατάληξη αυτού του ποσού μετά την επιστροφή του στον όμιλο Καλογρίτσα. Συγκεκριμένα, όπως τεκμαίρεται από το άνοιγμα των λογαριασμών, το ποσό διοχετεύτηκε στο σύνολό του για την εξυπηρέτηση του παραγωγικού κύκλου της συγκεκριμένης εταιρείας: Προμηθευτές, δομικά υλικά μέχρι και την πληρωμή λογαριασμών ΔΕΗ και ασφαλιστικών ταμείων.
Όπως προκύπτει ακόμα από την έκθεση, για όλες τις κινήσεις ήταν ενήμερες τόσο η αρχή για το ξέπλυμα μαύρου χρήματος όσο και η ΤτΕ. Μάλιστα, η Attica Bank και η Εθνική Τράπεζα, όπως αναφέρεται στην έκθεση της ΤτΕ, υπέβαλαν στην αρχή ξεπλύματος μαύρου χρήματος και τις σχετικές αναφορές με όλα τα στοιχεία. Όπως αναφέρεται, «η εν λόγω Αρχή διαβιβάζει κατά την κρίση της στις εισαγγελικές αρχές τυχόν περιπτώσεις που χρίζουν διερεύνησης».

Στα βασικότερα σημεία της η έκθεση της ΤτΕ αναφέρει ότι:

· Μετά την επιστροφή των εγγυητικών επιστολών, τα χρήματα (3 εκατ. ευρώ) πέρασαν από την εταιρεία ΜΜΕ του Ιωάννη Βλαδίμηρου Καλογρίτσα στην εταιρεία Τοξότης του ομίλου, η οποία στη συνέχεια τα ανάλωσε «μέσω πλήθους συναλλαγών χρέωσης κυρίως μικρής αξίας στο πλαίσιο του συναλλακτικού κυκλώματος της εταιρείας».
· «Οι χρεώσεις του λογαριασμού με αριθμό ……… της εταιρείας “Τοξότης ΑΕ”, δηλαδή ο τρόπος ανάλωσης των λόγω κεφαλαίων από την εταιρεία αφορούσαν μεγάλο πλήθος συναλλαγών εμβασμάτων, εντολών πληρωμών και συναλλαγές έκδοσης/εξόφλησης επιταγών, κυρίως μικρής αξίας […] Από ευρύ δείγμα συναλλαγών που ελέγχθηκαν […] προκύπτει ότι στην πλειονότητά τους αφορούσαν πληρωμές φορολογικών / ασφαλιστικών υποχρεώσεων της εταιρείας ή μεταφορές προς επιχειρήσεις / φυσικά πρόσωπα με αντικείμενο δραστηριότητας συναφές με τον κλάδο των κατασκευών».
· Η αρμόδια υπηρεσία της Τράπεζας της Ελλάδος είχε ενημερωθεί από την Τράπεζα Αττικής και στο πλαίσιο των εποπτικών της καθηκόντων επέστησε την προσοχή των αρμοδίων στελεχών της Attica Bank στην ενδελεχή εξέταση των συναλλαγών και τη συλλογή όλων των απαραίτητων στοιχείων και πληροφοριών για την τεκμηρίωση της σκοπούμενης φύσης τους.
Συνοπτικά, έγινε ενδελεχής έλεγχος τόσο για την προέλευση των χρημάτων όσο και για την κατάληξή τους.
Η φάρσα ολοκληρώνεται ως κωμωδία και η μεθόδευση ως τραγωδία για τους εμπνευστές της, καταλήγουν οι ίδιες πηγές.

syriza_1.jpg

www.bankingnews.gr

Ρoή Ειδήσεων

Σχόλια αναγνωστών

Δείτε επίσης