Αξίζει να αναφερθεί ότι ο Dr. Γιάννης Ιωαννίδης έγκαιρα είχε προειδοποιήσει στις 17 Μαρτίου 2020 σε άρθρο του στο Stat News, υποστηρίζοντας προληπτικά ότι «λαμβάνουμε αποφάσεις χωρίς αξιόπιστα δεδομένα» και «με lockdown μηνών, αν όχι ετών, η ζωή σταματά σε μεγάλο βαθμό, οι βραχυπρόθεσμες και μακροπρόθεσμες συνέπειες είναι εντελώς άγνωστες και δισεκατομμύρια, όχι μόνο εκατομμύρια, ζωές μπορούν τελικά να διακυβευτούν».
Στη νέα μελέτη η οποία βρίσκεται υπό αξιολόγηση ο καθηγητής Ιωαννίδης και οι συνεργάτες του διαπίστωσαν ότι σε 31 εθνικές μελέτες οροθετικού επιπολασμού την εποχή πριν από τον εμβολιασμό, το μέσο (διάμεσο) ποσοστό θνησιμότητας από μόλυνση από τον COVID-19 υπολογίστηκε ότι ήταν μόλις 0,035, για άτομα ηλικίας 0-59 ετών και 0,095% για άτομα ηλικίας 0-69 ετών.
Μια περαιτέρω ανάλυση ανά ηλικιακή ομάδα διαπίστωσε ότι ο μέσος όρος οροθετικού επιπολασμού IFR ήταν 0,0003% στα 0-19 έτη, 0,003% στα 20-29 έτη, 0,011% στα 30-39 έτη, 0,035% στα 40-49 έτη, 0,129% στα έτη 50-59 ετών και 0,501% στα 60-69 έτη.
Η μελέτη αναφέρει ότι αποδεικνύεται «πολύ χαμηλότερο IFR πριν από τον εμβολιασμό σε μη ηλικιωμένους πληθυσμούς από ότι είχε παρουσιαστεί».
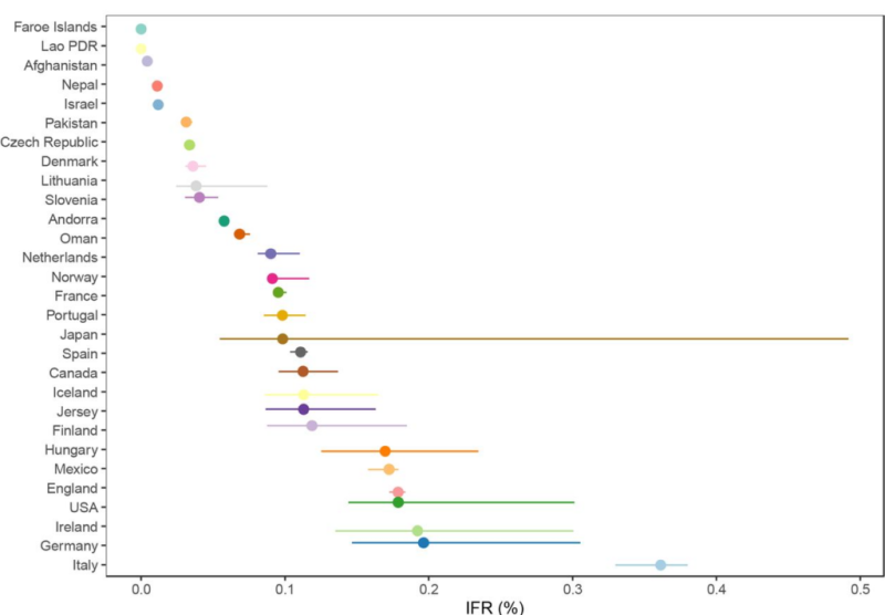
Μια ανάλυση ανά χώρα αποκαλύπτει το ευρύ φάσμα των τιμών οροθετικού επιπολασμού IFR σε διαφορετικούς πληθυσμούς.
Ποσοστό θνησιμότητας λόγω μόλυνσης (IFR) και διάστημα εμπιστοσύνης 95% ανά χώρα για άτομα κάτω των 70 ετών.
Οι πολύ υψηλότερες τιμές για 7 χώρες με τα υψηλότερα ποσοστά υποδηλώνουν ότι ορισμένες από τις διαφορές μπορεί να είναι τεχνολογίες, για παράδειγμα, του τρόπου με τον οποίο υπολογίζονται οι θάνατοι από τον Covid, ιδιαίτερα όπου τα υπερβολικά επίπεδα θανάτων είναι παρόμοια.
Σημειώστε επίσης ότι οι μελέτες χρονολογούνται από διάφορα σημεία κατά τη διάρκεια του πρώτου έτους της πανδημίας, τα περισσότερα από αυτά πριν από το μεγάλο χειμερινό κύμα του 2020-2021, όταν τα επίπεδα εξάπλωσης και οι αριθμοί θανάτων διέφεραν περισσότερο από ότι αργότερα στην πανδημία….τα κύματα προκάλεσαν σύγκλιση των στατιστικών των χωρών.
Ο λόγος που ορισμένες χώρες είχαν πολύ χαμηλότερες τιμές και άλλες πολύ υψηλότερες δεν είναι απολύτως σαφής.
Οι συγγραφείς προτείνουν ότι «μεγάλο μέρος της ποικιλομορφίας στον οροθετικό επιπολασμό IFR μεταξύ των χωρών εξηγείται από τις διαφορές στη δομή ηλικίας».
Γιατί οι χώρες βλέπουν διαφορετικά IFR ακόμη και για τις ίδιες ηλικιακές ομάδες;
Οι συγγραφείς παρουσιάζουν μια σειρά από εξηγήσεις, συμπεριλαμβανομένων τεχνικών δεδομένων (π.χ. εάν ο αριθμός των θανάτων ή ο οροθετικός επιπολασμός δεν μετράται με ακρίβεια), την παρουσία και τη σοβαρότητα των συννοσηροτήτων (για παράδειγμα, η παχυσαρκία επηρεάζει το 42% του πληθυσμού των ΗΠΑ, αλλά το ποσοστό των παχύσαρκων ενηλίκων είναι μόνο 2% στο Βιετνάμ, 4% στην Ινδία και κάτω από 10% στις περισσότερες αφρικανικές χώρες, αν και επηρεάζει σχεδόν το 40% των γυναικών της Νότιας Αφρικής), η παρουσία αδύναμων ατόμων σε οίκους ευγηρίας και οι διαφορές στη διαχείριση, την υγειονομική περίθαλψη, τη συνολική κοινωνία υποστήριξη και επίπεδα προβλημάτων από τα φάρμακα.
Ο Καθηγητής Ιωαννίδης έχει δημοσιεύσει στο παρελθόν μια σειρά από εργασίες που εκτιμούν το IFR του COVID-19 χρησιμοποιώντας έρευνες οροθετικού επιπολασμού.
Αυτός και η ομάδα του καταλήγουν στο συμπέρασμα ότι οι νέες εκτιμήσεις τους παρέχουν μια βάση από την οποία μπορούν να αξιολογηθούν περαιτέρω μειώσεις IFR μετά την ευρεία χρήση εμβολιασμού, προηγούμενες μολύνσεις και την εξέλιξη νέων παραλλαγών όπως της Omicron.



www.bankingnews.gr
Σχόλια αναγνωστών