Η βλάβη στην υγεία που προκαλείται από κάθε δόση εμβολίου δεν μειώνεται με την πάροδο του χρόνου, αλλά αντιθέτως συνεχίζεται επ' αόριστον
Οι μακροπρόθεσμες συνέπειες του εμβολιασμού κατά του Covid-19 γίνονται πλέον αντιληπτές…παρά τα αρχικά πυρά που είχαν δεχθεί επιστήμονες που προειδοποιούσαν διαρκώς για τις παρενέργειες.
Πριν από ένα χρόνο, οι διπλά εμβολιασμένοι Αυστραλοί είχαν 10,72 φορές περισσότερες πιθανότητες να κολλήσουν την παραλλαγή Omicron από τους μη εμβολιασμένους αναφέρει το expose-news.
Πλέον είναι κατά 35 φορές πιο πιθανό να κολλήσουν, όπως δείχνουν τα πιο πρόσφατα στατιστικά για την υγεία της NSW.
Εν τω μεταξύ, τα πιο πρόσφατα δεδομένα της κλινικής του Κλίβελαντ και τα πιο πρόσφατα δεδομένα των ΗΠΑ που αναλύθηκαν από τον Τζος Στέρλινγκ, ιδρυτή της Insurance Collaboration to Save Livess και πρώην Νο 1 κατάταξη Αναλυτής Ασφαλίσεων, δείχνουν μια πραγματικά ανησυχητική τάση.
Η βλάβη στην υγεία που προκαλείται από κάθε δόση εμβολίου δεν μειώνεται με την πάροδο του χρόνου, αλλά αντιθέτως συνεχίζεται επ' αόριστον.
Στην πραγματικότητα, τα δεδομένα για τη θνησιμότητα όλων των αιτιών του CDC δείχνουν ότι κάθε δόση εμβολίου αύξησε τη θνησιμότητα κατά 7% το έτος 2022 σε σύγκριση με τη θνησιμότητα το έτος 2021.
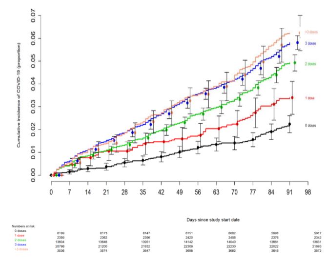
Τα δεδομένα της κλινικής του Κλίβελαντ - Πιο πιθανή πλέον η λοίμωξη μετά τα εμβόλια
Ακολουθούν τα ποσοστά μόλυνσης από τον Covid για τις 1η 98 ημέρες από το 2022 Σεπτεμβρίου 12, όταν το δισθενές εμβόλιο δόθηκε για πρώτη φορά στους υπαλλήλους της Cleveland Clinic.
Τα αποτελέσματα της μελέτης τους, που φαίνονται γραφικά παραπάνω, καταδεικνύουν ότι όσες περισσότερες δόσεις του αρχικού εμβολίου κάνατε, τόσο πιο πιθανό ήταν να κολλήσετε τον κορωνοϊό. Με άλλα λόγια, το αρχικό εμβόλιο Covid δεν είναι απλώς αναποτελεσματικό κατά της Omicron. Είναι πραγματικά αντι-αποτελεσματικό.

Τα αποτελέσματα της μελέτης τους, που φαίνονται γραφικά παραπάνω, καταδεικνύουν ότι όσες περισσότερες δόσεις του αρχικού εμβολίου κάνατε, τόσο πιο πιθανό ήταν να κολλήσετε τον κορωνοϊό. Με άλλα λόγια, το αρχικό εμβόλιο Covid δεν είναι απλώς αναποτελεσματικό κατά της Omicron. Είναι πραγματικά αντι-αποτελεσματικό.
Επομένως, δεν είναι εμβόλιο κατά του σημερινού στελέχους του Covid. Πρόκειται για.... αντιεμβόλιο που βλάπτει το ανοσοποιητικό σύστημα με δοσοεξαρτώμενο τρόπο. Όσο περισσότερες λήψεις κάνατε, τόσο μεγαλύτερη ζημιά θα έχετε κάνει στο ανοσοποιητικό σας σύστημα αναφέρει η ανάλυση του Expose-News
Ο συγγραφέας της έρευνας το εντόπισε για πρώτη φορά από τις αναφορές του PHE Vaccine Surveillance και δημοσίευσε τα ευρήματά του στο ίδιο το PHE και στον ιστότοπό The Expose, τον Οκτώβριο του 2021
Τα γενετικά εμβόλια βλάπτουν το ανοσοποιητικό σύστημα και καθιστούν πιο πιθανό το σενάριο... να μολυνθείτε από τον Covid.
Όχι μόνο αυτό, αλλά έχουν παρενέργειες στο καρδιαγγειακό, νευρολογικό και αναπαραγωγικό σύστημα επίσης.
Τα δεδομένα θνησιμότητας για όλες τις αιτίες του CDC δείχνουν ότι κάθε χρόνο, κάθε εμβολιασμένο άτομο έχει όλο και περισσότερες πιθανότητες να πεθάνει με ποσοστό που φτάνει πλέον το 7%
Πρόκειται δηλαδή για ένα αργής δράσης γενετικό δηλητήριο.
Λαμβάνοντας λοιπόν το 2021 ως γραμμή βάσης, ένα άτομο με 5 δόσεις θα είχε 350% περισσότερες πιθανότητες να πεθάνει το 2031 και 700% περισσότερες πιθανότητες να πεθάνει το 2041 και 1050% περισσότερες πιθανότητες να πεθάνει το 2051 από ό,τι ένα άτομο που δεν έχει υποβληθεί σε εμβολιασμό.

www.bankingnews.gr
Πριν από ένα χρόνο, οι διπλά εμβολιασμένοι Αυστραλοί είχαν 10,72 φορές περισσότερες πιθανότητες να κολλήσουν την παραλλαγή Omicron από τους μη εμβολιασμένους αναφέρει το expose-news.
Πλέον είναι κατά 35 φορές πιο πιθανό να κολλήσουν, όπως δείχνουν τα πιο πρόσφατα στατιστικά για την υγεία της NSW.
Εν τω μεταξύ, τα πιο πρόσφατα δεδομένα της κλινικής του Κλίβελαντ και τα πιο πρόσφατα δεδομένα των ΗΠΑ που αναλύθηκαν από τον Τζος Στέρλινγκ, ιδρυτή της Insurance Collaboration to Save Livess και πρώην Νο 1 κατάταξη Αναλυτής Ασφαλίσεων, δείχνουν μια πραγματικά ανησυχητική τάση.
Η βλάβη στην υγεία που προκαλείται από κάθε δόση εμβολίου δεν μειώνεται με την πάροδο του χρόνου, αλλά αντιθέτως συνεχίζεται επ' αόριστον.
Στην πραγματικότητα, τα δεδομένα για τη θνησιμότητα όλων των αιτιών του CDC δείχνουν ότι κάθε δόση εμβολίου αύξησε τη θνησιμότητα κατά 7% το έτος 2022 σε σύγκριση με τη θνησιμότητα το έτος 2021.
Τα δεδομένα της κλινικής του Κλίβελαντ - Πιο πιθανή πλέον η λοίμωξη μετά τα εμβόλια
Ακολουθούν τα ποσοστά μόλυνσης από τον Covid για τις 1η 98 ημέρες από το 2022 Σεπτεμβρίου 12, όταν το δισθενές εμβόλιο δόθηκε για πρώτη φορά στους υπαλλήλους της Cleveland Clinic.
Τα αποτελέσματα της μελέτης τους, που φαίνονται γραφικά παραπάνω, καταδεικνύουν ότι όσες περισσότερες δόσεις του αρχικού εμβολίου κάνατε, τόσο πιο πιθανό ήταν να κολλήσετε τον κορωνοϊό. Με άλλα λόγια, το αρχικό εμβόλιο Covid δεν είναι απλώς αναποτελεσματικό κατά της Omicron. Είναι πραγματικά αντι-αποτελεσματικό.
Τα αποτελέσματα της μελέτης τους, που φαίνονται γραφικά παραπάνω, καταδεικνύουν ότι όσες περισσότερες δόσεις του αρχικού εμβολίου κάνατε, τόσο πιο πιθανό ήταν να κολλήσετε τον κορωνοϊό. Με άλλα λόγια, το αρχικό εμβόλιο Covid δεν είναι απλώς αναποτελεσματικό κατά της Omicron. Είναι πραγματικά αντι-αποτελεσματικό.
Επομένως, δεν είναι εμβόλιο κατά του σημερινού στελέχους του Covid. Πρόκειται για.... αντιεμβόλιο που βλάπτει το ανοσοποιητικό σύστημα με δοσοεξαρτώμενο τρόπο. Όσο περισσότερες λήψεις κάνατε, τόσο μεγαλύτερη ζημιά θα έχετε κάνει στο ανοσοποιητικό σας σύστημα αναφέρει η ανάλυση του Expose-News
Ο συγγραφέας της έρευνας το εντόπισε για πρώτη φορά από τις αναφορές του PHE Vaccine Surveillance και δημοσίευσε τα ευρήματά του στο ίδιο το PHE και στον ιστότοπό The Expose, τον Οκτώβριο του 2021
Τα γενετικά εμβόλια βλάπτουν το ανοσοποιητικό σύστημα και καθιστούν πιο πιθανό το σενάριο... να μολυνθείτε από τον Covid.
Όχι μόνο αυτό, αλλά έχουν παρενέργειες στο καρδιαγγειακό, νευρολογικό και αναπαραγωγικό σύστημα επίσης.
Τα δεδομένα θνησιμότητας για όλες τις αιτίες του CDC δείχνουν ότι κάθε χρόνο, κάθε εμβολιασμένο άτομο έχει όλο και περισσότερες πιθανότητες να πεθάνει με ποσοστό που φτάνει πλέον το 7%
Πρόκειται δηλαδή για ένα αργής δράσης γενετικό δηλητήριο.
Λαμβάνοντας λοιπόν το 2021 ως γραμμή βάσης, ένα άτομο με 5 δόσεις θα είχε 350% περισσότερες πιθανότητες να πεθάνει το 2031 και 700% περισσότερες πιθανότητες να πεθάνει το 2041 και 1050% περισσότερες πιθανότητες να πεθάνει το 2051 από ό,τι ένα άτομο που δεν έχει υποβληθεί σε εμβολιασμό.
www.bankingnews.gr
Σχόλια αναγνωστών