Πολιτική θύελλα έχει προκαλέσει στις Βρυξέλλες ένα έγγραφο «φάντασμα», όπως το αποκαλούν τα διεθνή πρακτορεία ειδήσεων, το οποίο κάνει λόγο για προτεινόμενες αλλαγές στα σύνορα των χωρών των Δυτικών Βαλκανίων.
Σύμφωνα με το Euractiv, μολονότι αξιωματούχοι της ΕΕ αρνήθηκαν την ύπαρξή του, ο πρόεδρος του Ευρωπαϊκού Συμβουλίου Charles Michel τηρεί σιγή ιχθύος.
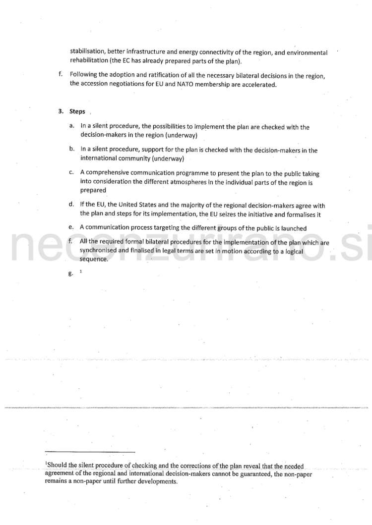
Τι αναφέρει το επίμαχο έγγραφο
Το επίμαχο έγγραφο δημοσιεύθηκε στην σλοβενική ιστοσελίδα necenzurirano.si και φέρεται να έχει αποσταλεί στον Πρόεδρο του Ευρωπαϊκού Συμβουλίου, Charles Michel.
Τα βοσνιακά μέσα ενημέρωσης ήταν τα πρώτα που μετέδωσαν τη Δευτέρα ότι ο πρωθυπουργός της Σλοβενίας Janez Jansa είχε παραδώσει ένα έγγραφο με κατευθυντήριες γραμμές για την πρώην Γιουγκοσλαβία, στον Πρόεδρο του Ευρωπαϊκού Συμβουλίου Charles Michel τον Φεβρουάριο ή τον Μάρτιο του 2021.
Ο πρωθυπουργός της Σλοβενίας Janez Jansa αρνήθηκε την ύπαρξή του εγγράφου, σύμφωνα με το Euractiv.
Στο non paper με τίτλο «Δυτικά Βαλκάνια - Ο δρόμος προς τα εμπρός», προτείνονται μεταξύ άλλων, η ενοποίηση του Κοσόβου με την Αλβανία, η ενοποίηση του μεγαλύτερου εδάφους της Δημοκρατίας της Σέρπσκα με τη Σερβία, η ένωση των κροατικών καντονιών της Βοσνίας-Ερζεγοβίνης με την Κροατία ή ειδικό καθεστώς ακολουθώντας το παράδειγμα στο Νότιο Τιρόλο και η διεξαγωγή δημοψηφίσματος στη Βοσνία για το μέλλον της εντός ή εκτός Ε.Ε.
Ανοίγουν την πόρτα στην Τουρκία
Το non paper κάνει λόγο για τη διενέργεια δημοψηφίσματος, στο οποίο «οι Βόσνιοι μπορούν να επιλέξουν μεταξύ του μέλλοντος στην ΕΕ ή εκτός αυτής, όπως η Τουρκία».
Η Τουρκία ενδιαφέρεται ιδιαίτερα για την περιοχή, αλλά η ΕΕ δεν σκέφτηκε ποτέ να περιορίσει τη φιλοδοξία της για διεύρυνση στα Δυτικά Βαλκάνια προς όφελος της Άγκυρας, σημειώνει το Euractiv.
Επιπλέον, το non paper αναφέρεται σε «σιωπηλές διαδικασίες» που «βρίσκονται σε εξέλιξη» για να εφαρμοστούν τα σχέδια από «υπεύθυνους λήψης αποφάσεων στην περιοχή» και «υπεύθυνους λήψης αποφάσεων στη διεθνή κοινότητα».
Η… μη διάψευση του Michel
Εκπρόσωπος του Charles Michel δήλωσε στο Euractiv ότι δεν μπορεί να προχωρήσει σε κάποιο σχόλιο σχετικά με το επίμαχο non paper.
Η Ευρωπαϊκή Επιτροπή και η διπλωματική της υπηρεσία, δεν γνώριζαν έχουν γνώση του ανεπίσημου εγγράφου για τα σύνορα στα Δυτικά Βαλκάνια.
«Η Η Ευρωπαϊκή Υπηρεσία Εξωτερικής Δράσης (ΕΥΕΔ) δεν έχει λάβει το εν λόγω έγγραφο, δεν γνωρίζει το περιεχόμενό του πέρα από αυτό που αναφέρθηκε στα μέσα ενημέρωσης», δήλωσε ο επικεφαλής εκπρόσωπος της ΕΕ Peter Stano, ερωτώμενος σχετικά.
Οι Βρυξέλλες και ο επικεφαλής διπλωμάτης της ΕΕ, Josep Borrell, έχουν επανειλημμένα τονίσει την επιθυμία της ΕΕ να καταγράψει μια δέσμευση για μεταρρυθμίσεις από Βόσνιους αξιωματούχους που θα «επιτρέψουν στη χώρα να προχωρήσει προς την ΕΕ».
Ορισμένοι αναλυτές ανέφεραν επίσης ότι οι Σλοβένοι ηγέτες ενδέχεται να διερευνούν το επίπεδο δυσαρέσκειας με τη Βοσνία μεταξύ των «μεγαλύτερων παραγόντων», ή ακόμη και για λογαριασμό τους, εντός της ΕΕ.
Πέντε διπλωμάτες της ΕΕ με τους οποίους επικοινώνησε το Euractiv, ωστόσο, δήλωσαν ότι δεν γνώριζαν επίσημα το έγγραφο καθώς «δεν έχει εισαχθεί μέσω των επίσημων καναλιών».
Στη διπλωματική πρακτική, αυτό σημαίνει ότι η ύπαρξή της μπορεί να αμφισβητηθεί δημοσίως ανά πάσα στιγμή.
Σημειώνεται ότι η Σλοβενία θα αναλάβει την προεδρία της ΕΕ την 1η Ιουλίου.

www.bankingnews.gr
Σχόλια αναγνωστών